Clinical and Experimental Pediatrics

Search

Search

Close


Warning: fopen(/home/virtual/pediatrics/journal/upload/ip_log/ip_log_2025-11.txt) [function.fopen]: failed to open stream: Permission denied in /home/virtual/pediatrics/journal/ip_info/view_data.php on line 93

Warning: fwrite(): supplied argument is not a valid stream resource in /home/virtual/pediatrics/journal/ip_info/view_data.php on line 94

All issues > Volume 0(0);

Chu, Chen, Liu, Hu, Lin, Kuo, Lu, Hsu, Hung, Tsai, and Lin: Long-term epidemiological insights into rickets: a nationwide population-based retrospective study

Long-term epidemiological insights into rickets: a nationwide population-based retrospective study

Chun-Hao Chu, MD1,2,3, Ying-Chuan Chen, PhD4, Pei-Yao Liu, PhD4, Chun-Chieh Hu, MD1, Yu-Lung Lin, PhD5,6, Feng-Chih Kuo, MD, PhD7, Chieh-Hua Lu, MD7, Tzu-Ju Hsu, MS8, Yu-Tung Hung, MS8,9, Fuu-Jen Tsai, MD, PhD10,11,12,13, Chien-Ming Lin, MD, PhD1
Corresponding author: Chien-Ming Lin, MD, PhD. Department of Pediatrics, Tri-Service General Hospital, National Defense Medical Center, No. 325, Cheng-Kung Road, Section 2, Neihu District, Taipei, 11490, Taiwan Email: ming.sandra@msa.hinet.net
Received April 28, 2025       Revised June 29, 2025       Accepted July 5, 2025
Abstract
Background
Background
Rickets is a growth disorder that imposes a global health burden and causes disability in affected children. However, issues related to the clinical epidemiology and mortality risk of nutritional versus hereditary rickets have not been fully investigated in large population studies, particularly in Asia.
Purpose
Purpose
This study aimed to investigate the nationwide incidence, demographic characteristics, and mortality-related risk factors of pediatric rickets stratified by nutritional and hereditary subtypes.
Methods
Methods
This study utilized data of subjects aged 0–18 years taken from Taiwan’s National Health Insurance Research Database. The database includes records of 31,488,321 individuals from January 1, 2008, to December 31, 2018. We analyzed all cases and conducted subgroup analyses of nutritional and hereditary rickets to examine how different etiologies affect the risk of mortality (ROM).
Results
Results
Among the 1,551 patients with rickets, nutritional rickets accounted for twice as many cases as hereditary rickets. Nutritional rickets primarily affects preschoolers without sex-based differences, whereas hereditary rickets is often diagnosed later with a male predominance. ROM in rickets is associated with a low household income, anemia, chronic kidney disease (CKD), hyperparathyroidism secondary to renal tubulopathy, and a prolonged length of hospital stay (LOS). Between 2012 and 2018, the overall incidence of rickets increased and the mortality rates decreased.
Conclusion
Conclusion
Increasing incidence and decreasing mortality rates of rickets were noted, suggesting improvements in clinical awareness and disease management. influencing ROM, such as family income, anemia, CKD, hyperparathyroidism secondary to renal tubulopathy, and LOS are important considerations in the clinical care of rickets.
Key message
Graphical abstract
Introduction
Introduction
Rickets is a metabolic bone disease of the growing skeleton characterized by impaired apoptosis of hypertrophic chondrocytes and mineralization of the growth plate. Additionally, these impairments occur due to disruptions in the metabolism of key nutrients, including calcium, phosphorus, and/or vitamin D [1]. Rickets can be classified into 2 distinct categories: nutritional rickets and hereditary rickets [2]. Nutritional rickets typically results from deficiencies in vitamin D or calcium, while hereditary forms are associated with abnormalities of vitamin D metabolism [3-5]. Although nutritional rickets is more common than hereditary forms, the incidence and prevalence of rickets can vary across different study populations and time periods, also influenced by factors such as race, sunlight exposure, breastfeeding, socioeconomic factors, and geographical location [6-8].
Despite increasing interest in the epidemiology of nutritional rickets in recent years, findings can be inconsistent due to differences in locations, cultures, or economic developments, with some cases not solely attributed to vitamin D deficiency [9,10]. Conversely, current studies focusing on the incidence and characteristics of hereditary rickets are limited. This study represents the first nationwide large-scale cohort investigation of rickets epidemiology in Taiwan, offering novel insights into the prevalence and characteristics of this condition. While the rarity and low incidence of hereditary rickets have limited its epidemiological research, our study concurrently examines the epidemiology of both nutritional and hereditary rickets to enhance our understanding of these distinct forms.
In this study, our objective was to comprehensively investigate the demographic characteristics, incidence, mortality rate, and potential factors associated with the ROM in the Chinese Han population affected by rickets. Furthermore, we aimed to enrich our understanding of rickets by comparing our findings with existing literature and data, thereby providing an up-to-date perspective on rickets epidemiology across diverse populations, regions, and cultures [11]. Understanding risk factors and gaining a thorough comprehension of rickets epidemiology are crucial for developing effective preventive strategies and targeted interventions to reduce the health burden of this disorder.
Methods
Methods
1. Source of data
1. Source of data
Taiwan’s National Health Insurance (NHI) is a nationwide medical financial support system commenced in 1995.12) Over 99% of Taiwanese residents, approximately 23 million people, benefit from this system. The National Health Insurance Research Database (NHIRD) is derived from NHI and collects medical activities, including demographic data, disease diagnosis, prescriptions, surgeries, and expenses. This retrospective cohort study utilized outpatient and inpatient data obtained from the NHIRD. Participants were selected based on the codes from the International Classification of Diseases, Ninth Revision, Clinical Modification (ICD-9-CM) and International Classification of Diseases, Tenth Revision, Clinical Modification (ICD-10-CM) [13,14]. The database review was conducted by the Management Office of Health Data at China Medical University Hospital’s Clinical Trial Center. Rickets and associated variables were categorized based on clinical relevance and coded for statistical analysis using corresponding ICD codes. This classification was reviewed periodically by senior members of the research team for quality assurance.
2. Ethical considerations
2. Ethical considerations
The study was conducted anonymously to protect the privacy, rights, and interests of the participants. The NHIRD provided deidentified data, ensuring the concealment of identifiable personal information of the patients. As all identifying personal information was removed from the secondary files before analysis, patient consent was not required for accessing the NHIRD. However, some analyzed data were absent due to government regulations prohibiting transportation if the data variable unit is less than 3 units. This precaution aims to prevent the identification of extremely rare cases through alternative system analyses. All protocols were approved by the Institutional Review Board of the Research Ethics Committee of China Medical University Hospital (CMUH 110-REC3-133(CR-2)).
3. Study design and population
3. Study design and population
From January 1, 2008, to December 31, 2018, a total of 31,488,321 outpatients and inpatients were recorded in the NHIRD. Detailed information regarding the ICD-9-CM and ICD-10-CM codes used in the study is provided in Supplementary Table 1. Data from the “detailed documents of hospitalization medical expenses” and “registry for contracted medical facilities” were extracted from the NHIRD. The index date was defined as the date of the initial diagnosis of rickets for each patient. We identified a total of 10,276 patients with a diagnosis of nutritional rickets or hereditary rickets (nutritional rickets ICD-9: 268.0, 268.1, 268.9; ICD-10: E55.0, E55.9, E64.3; hereditary rickets ICD-9: 275.3; ICD-10: E83.30, E83.31, E83.32, E83.39). After excluding patients whose information was incompatible with rickets based on the timeframe before 2008 and after 2018 (n=1,795), those aged over 18 years (n=6,639), and those with unknown sex (n=291), we finally analyzed 1,551 participants with rickets (Supplementary Fig. 1). In the NHIRD, sex may be masked in specific cases (unknown sex) to comply with anonymization policies, particularly when subgroup sizes are small and pose potential re-identification risk.
4. Covariates
4. Covariates
We examined the sociodemographic factors, including sex, age, monthly household income, season of disease onset, urbanization, and level of residence based on disease complexity. Patients were classified into subgroups according to these covariates: preschoolers (age 0–5), school-age children (age 6–10), and adolescents (age 11–18) by age; low income (New Taiwan dollar [NTD]<20,000), medium income (NTD 20,000–39,999), and high income (NTD≥40,000 by monthly household income; and urbanization levels ranging from 0 (low urbanization) to 3 (high urbanization).
5. Comorbidities
5. Comorbidities
The baseline comorbidity history included prematurity, low birth weight, underweight, anemia, enthesopathy, osteoarthrosis, chronic kidney disease (CKD), hyperparathyroidism secondary to renal tubulopathies, and infectious lung diseases (Supplementary Table 1). These comorbidities were included as categorical variables in the models to investigate their impact on the mortality in patients with rickets.
6. Main outcome measures
6. Main outcome measures
We examined the overall incidence and mortality rate of rickets annually from 2008 to 2018. The distributions of sociodemographic factors, including age, season of disease diagnosis, and income levels, were analyzed. The annual incidence of rickets patients in the overall group and sex subgroups was investigated. Additionally, potential factors influencing the ROM were thoroughly evaluated among both survival and mortality groups. The length of hospital stay (LOS) among rickets patients was also examined to elucidate its correlation with the mortality rate.
7. Statistical analysis
7. Statistical analysis
For descriptive statistics, we used the chi-square test or Fisher exact test to analyze differences in categorical variables, and one-way analysis of variance for continuous variables. These tests were used to compare demographic characteristics and comorbidities between all participants and the mortality group, as shown in Table 1.
To identify independent factors associated with mortality, the Cox proportional hazards regression model was performed, incorporating relevant demographic and healthcare-related covariates described above (Table 2). Data are expressed as adjusted hazard ratios (HRs) with 95% confidence intervals (CI). All statistical analyses were performed using IBM SPSS Statistics ver. 22.0 (IBM Co., USA), with a 2-tailed P value<0.05 indicating statistical significance.
Results
Results
1. Demographic characteristics and stratified analysis of rickets patients
1. Demographic characteristics and stratified analysis of rickets patients
Among the 1,551 index patients, male comprised 52.87% and females 47.13% (Table 1). The mean age was 6.44±6.09 years. Preschool-aged children represented the largest group (50.61%), followed by adolescents (34.04%) and school-aged children (15.34%). Most patients came from middle-income households (56.54%). While the occurrence of rickets did not vary significantly across seasons, and a high proportion of patients resided in areas characterized by higher levels of urbanization (level II: 32.17%, level III: 49.32%).
A stratified analysis of all participants into nutritional rickets and hereditary rickets categories revealed twice as many cases in nutritional rickets compared to hereditary rickets (1,006 cases vs. 545 cases). Nutritional rickets showed an equal sex distribution, whereas hereditary rickets had a male-female ratio of 3:2. The mean age was younger in nutritional rickets (5.61±5.72 years vs. 7.97±6.46 years). Preschoolers predominated in nutritional rickets (55.57%), while adolescents were more prevalent in hereditary rickets (43.49%), suggesting a potential delay in diagnosing hereditary rickets. Family income, seasonal onset, and urbanization level were comparable across both categories.
2. Demographic characteristics and comorbidities among mortality group
2. Demographic characteristics and comorbidities among mortality group
We further analyzed the demographic characteristics and associated comorbidities among the mortality group. Male rickets patients (56.76%) and preschoolers (41.89%) exhibited a high tendency toward mortality (Table 1). A low family income level (<20,000 USD: 45.95%) was also noted among the mortalities. Additionally, the mortality group had a higher proportion of patients with anemia (mortalities: 37.84% vs. total population: 10.35%), CKD (mortalities: 9.46% vs. total population: 3.29%), and hyperparathyroidism secondary to renal tubulopathies (mortalities: 9.46% vs. total population: 2.13%). Notably, the mortality group had a significantly longer LOS >7 days (77.03%, P<0.001), with a mean LOS of 28.16±51.4 days. Similar findings were observed when conducting a stratified analysis based on nutritional or hereditary rickets.
3. Risk of mortality in rickets patients stratified by covariates
3. Risk of mortality in rickets patients stratified by covariates
The Cox proportional hazards regression model was employed to identify influential factors for rickets mortality (Table 2). After adjusting for variables, sex, age, season of diagnosis, and urbanization level did not significantly affect the ROM. However, patients with medium and high incomes had a significantly decreased ROM compared to those with low incomes (0.13-fold, P<0.001; 0.27-fold, P<0.001). Using the receiver operating characteristic (ROC) curve, we identified the optimal cutoff value of LOS for predicting mortality as 3 days for overall rickets (Supplementary Table 2). Furthermore, patients with a longer LOS (>3 days) had a 4.82-fold increased ROM compared to those without (P<0.001). Similar findings were observed in a stratified analysis of nutritional or hereditary rickets (Table 2).
4. Trend of the incidence rate in index patients
4. Trend of the incidence rate in index patients
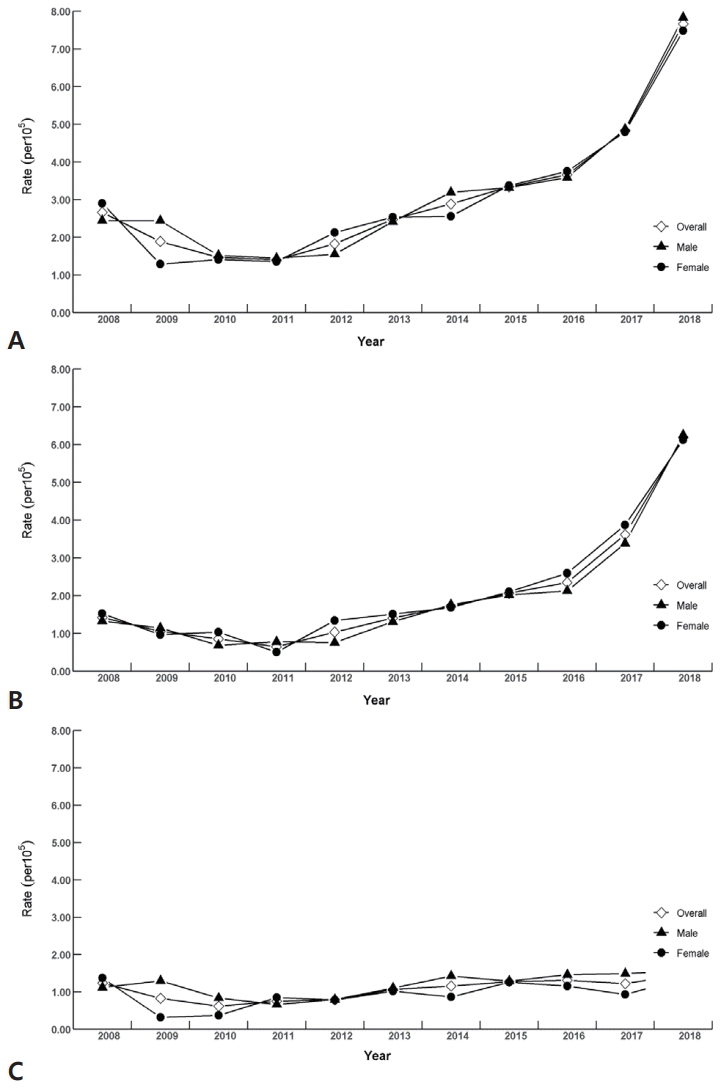
Supplementary Table 3 displays the trend of rickets occurrence among patients during the follow-up period. Overall, the incidence showed a mild decrease from 2008 (2.66 per 105 population) to 2011 (1.41 per 105 population), followed by an inflection point in 2012 (1.83 per 105 population), and an increasing trend thereafter (Fig. 1A). Additionally, the annual incidence in both sexes was similar to that of the overall population. The annual percentage change (APC) was significantly noted in total population (13.56, P=0.002) and both sexes (males=13.09, P=0.004; females=14.55, P=0.002). Regarding subgroups analysis, we found that the trend of the incidence rate in nutritional rickets (APC=17.9, P=0.001) aligned with that of overall rickets, while hereditary rickets exhibited a steady low incidence (APC=5.73, P=0.028) (Fig. 1B and C).
5. Trends of the mortality rate in index patients
5. Trends of the mortality rate in index patients
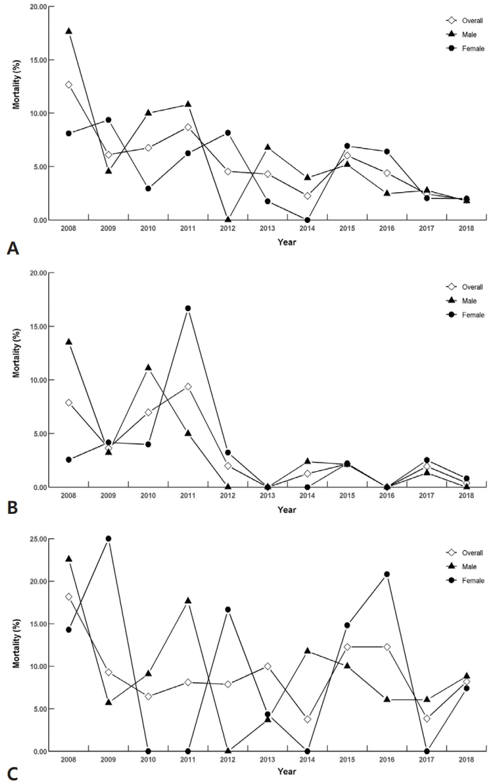
The highest mortality rate among index patients occurred in 2008 (males, 17.65%; females, 8.11%) (Fig. 2A). Overall, there was a significant decreasing trend in mortality rates for rickets (-13.48, P=0.002), though there was a slight increase in males and a slight decrease in females (males=-3.50, P=0.942; females=-48.18, P=0.353) (Fig. 2A). A slight decrease in mortality rates was observed among the total population with nutritional rickets (APC=-46.20, P=0.307) (Fig. 2B). Similarly, there was also a slight decline among the total population with hereditary rickets (APC=-4.86, P=0.293), although its trend pattern appears to be influenced by the results for males (Fig. 2C). The detailed case numbers of annual mortality in index cases from 2008 to 2018 was shown in Supplementary Table 4.
6. LOS in rickets patients and determination of cutoff value
6. LOS in rickets patients and determination of cutoff value
LOS was assessed to evaluate rickets severity and its correlation with mortality. Patients with hereditary rickets had significantly longer mean LOS compared to those with nutritional rickets (11.77"±" 19.6 vs. 3.51"±" 15.89, P<0.001) (Table 1). The mortality group showed a higher mean LOS compared to the overall group (28.16±51.4 vs. 6.41±17.72, P<0.001). Notably, mortality cases in nutritional rickets had a significant longer mean LOS than those in hereditary rickets (32.32±79.9 vs. 26.4±33.79, P<0.001). The area under the ROC curves was 0.8085 for the overall group (95% CI, 0.760–0.857; P<0.001), 0.7414 for the nutritional groups (95% CI, 0.661–0.888; P<0.001), and 0.720 for the hereditary group (95% CI, 0.653–0.787; P<0.001) (Fig. 3).
Discussion
Discussion
1. Summary of important results from the study
1. Summary of important results from the study
To our knowledge, there have been limited epidemiological studies on rickets, primarily focusing on the Caucasian population [15,16]. Our large-scale nationwide retrospective study aims to fill this gap by investigating the Asian population affected by nutritional or hereditary rickets and providing comprehensive epidemiological data, including factors influencing ROM and annual incidence [6,8,9,17-21]. In Taiwan, a developed country, the incidence of rickets increased from 2012 to 2018, potentially due to improved diagnostic capabilities rather than solely nutritional deficits. Overall, rickets slightly predominates in males and manifests during preschool or adolescence. ROM is linked to low income, anemia, CKD, hyperparathyroidism secondary to renal tubulopathies, and extended LOS. Early recognition and management of these factors are essential to avoid severe outcomes.
2. Comparison of studies on rickets epidemiology
2. Comparison of studies on rickets epidemiology
The comparison of significant findings between the current study and previous studies is summarized in Table 3. Wheeler et al. [8] conducted a prospective cohort study to elucidate the temporal relationship between nutritional rickets and risk factors such as darker skin pigmentation, Indian and African ethnicity, age under 3 years, and exclusive breastfeeding; however, the limited number of patients (n=58) from a specific region might restrict generalizability. Apart from 2 studies on X-linked hypophosphatemia [17,18], most retrospective studies on nutritional rickets have identified factors such as black race, exclusive breastfeeding, low birth weight, males, lower socioeconomic status, lack of sun exposure, and poor nutritional condition as increasing the risks of rickets [6,20,21]. Notably, our study simultaneously investigated both hereditary and nutritional rickets, providing a broader perspective on the care of rickets. Unlike other studies with small sample sizes [9,19], our nationwide retrospective study (1,551 cases) revealed a notable prevalence of rickets among pediatric patients, with a higher proportion diagnosed with nutritional compared to hereditary rickets. Our findings also suggest an increased overall incidence of rickets alongside declining mortality rates in recent years. However, these findings were limited by the lack of anthropometric data and detailed biochemical analysis. Future prospective research with larger sample sizes and comprehensive data is necessary to better understand the clinical characteristics and risk factors of rickets in diverse populations.
3. Male predominance and delayed diagnosis in hereditary rickets
3. Male predominance and delayed diagnosis in hereditary rickets
Previous studies have reported a male predominance in rickets incidence [22,23]; however, our study offers a more nuanced perspective. While males outnumber females among rickets patients overall, subgroup analysis reveals that only hereditary rickets exhibit a male predominance, whereas nutritional rickets show a nearly equal sex distribution. Although the discrepancy between our findings and previous reports may be influenced by racial and genetic factors [22,23], our results appear to better align with biological plausibility. Nutritional rickets primarily arises from individual nutritional status, indicating no inherent sex difference under similar environmental conditions [24]. Conversely, X-linked hypophosphatemia, a leading cause of hereditary rickets, may account for the higher likelihood of males being affected in this subgroup [25].
Hereditary rickets is often diagnosed later, typically during adolescence. This delayed diagnosis reflected the real-world challenges in prompt diagnosis in Taiwan. Several factors may contribute to this delay: the clinical complexity and subclinical nature of rickets can lead to under-recognition or misdiagnosis until symptoms become more pronounced in later childhood or adolescence [26]. The limited use of genetic analysis in Taiwan might result in patients consulting multiple healthcare providers before receiving a confirmed diagnosis [27]. Additionally, restricted access to pediatric endocrinologists specializing in rickets contributed to diagnostic delays. Finally, familial variability in disease presentation [28] and a cultural reluctance among Taiwanese parents to seek medical care due to feelings of guilt or shyness may further delay diagnosis.
4. Poor socioeconomic status associated with mortality in rickets
4. Poor socioeconomic status associated with mortality in rickets
In developing countries, the higher prevalence of rickets is often attributed to malnutrition stemming from poorer socioeconomic conditions [29]. However, our findings show that the most patients come from middle-income families with annual incomes exceeding 20,000 USD. This may be due to Taiwan’s status as a developed country with relatively small income disparities [30]. Additionally, the majority of rickets-related deaths occurred in low-income families, aligning with previous studies that report increased rickets prevalence in developed countries, possibly linked to immigration or refugees issues that restrict access to nutritious food and healthcare resources. Consequently, higher incidences and increased severity of rickets cases ensue [20,31].
5. Longer LOS, anemia, CKD, and secondary hyperparathyroidism increase mortality
5. Longer LOS, anemia, CKD, and secondary hyperparathyroidism increase mortality
Our study indicates that nutritional rickets generally presents with lower severity, evidenced by a shorter-than-expected average LOS compared to hereditary rickets. This suggests challenges in detecting and diagnosing hereditary rickets in Taiwan [32]. While nutritional rickets can often be resolved by improving nutritional status, hereditary rickets requires lifelong management due to genetic deficits [5,33,34]. Furthermore, our findings suggest that rickets patients with high disease severity face increased mortality risks, often associated with comorbidities such as anemia, CKD, and hyperparathyroidism secondary to renal tubulopathies. Possible explanations for these associations include the relationship between vitamin D deficiency and pulmonary infections like pneumonia, as well as the anemia’s interference with treatment efficacy, leading to higher mortality rates among severely ill patients [35]. Additionally, complications related to CKD, such as bicarbonate wasting, alkaline urine, and renal tubular acidosis, can impede rickets treatment, potentially resulting in refractory cases [36]. Severe nutritional rickets may also contribute to secondary hyperparathyroidism [37,38], increasing the risks of osteoporotic fractures and mortality due to disruptions in calcium and phosphorus metabolism [39]. Nonetheless, deaths in rickets are rarely a direct result of bone instability; they are usually caused by associated comorbidities. To effectively reduce mortality, precise interventions should prioritize improving these main contributing comorbidities.
6. Incidence and mortality trends from a view of government policy and healthcare
6. Incidence and mortality trends from a view of government policy and healthcare
From 2012 to 2018, the overall incidence of rickets in Taiwan showed a steady annual increase, largely driven by nutritional rickets rather than the stable occurrence of hereditary forms. Several factors may explain the rising incidence of nutritional rickets. The measurement of 25-hydroxyvitamin D levels has become more widespread in recent years [40]. In Taiwan, milk sold in containers is not fortified with vitamin D, and health supplements containing vitamin D are not commonly used by the general population. Given that over half of mothers and newborns were vitamin D deficient at birth [41], another possible reason could be the increase in breastfeeding prevalence in Taiwan, which rose from 32.2% in 2008 to 49.9% in 2011 and continues to rise [42]. In 2012, the Taiwan government intensified efforts to promote breastfeeding through initiatives like advocating exclusive breastfeeding in maternity hospitals and establishing breastfeeding-friendly facilities in public areas. While exclusive breastfeeding offers significant benefits, it has also contributed to increased vitamin D deficiency prevalence [43]. Consequently, the Taiwanese government recently endorsed additional vitamin D supplementation, aligning with international recommendations [44].
7. Hospital stay beyond 3 days as a clinical red flag
7. Hospital stay beyond 3 days as a clinical red flag
Beyond its statistical significance, prolonged hospitalization may also hold clinical implications as a red flag indicator for adverse outcomes. Our ROC analysis showed that a LOS >3 days was the optimal threshold for predicting mortality, with a sensitivity of 82.4% and specificity of 68.9% (Supplementary Table 2), and an AUC of 0.81 (Fig. 3). These findings are consistent with previous studies that demonstrated a positive association between extended LOS and mortality in pediatric patients [45]. In clinical settings, children with rickets who remain hospitalized beyond 3 days may warrant prompt multidisciplinary reassessment, including evaluation of comorbidities, nutritional status, or potential delays in treatment response. Nevertheless, LOS can be influenced by nonmedical factors such as discharge planning or resource availability, which may limit its specificity. Additionally, the possibility of reverse causality cannot be excluded—children with higher baseline severity or greater risk of death may have required prolonged hospitalization, rather than extended LOS being the cause of poor outcomes. Thus, further prospective research is still needed to validate its utility as a clinical indicator of elevated mortality risk in rickets.
8. Strengths and limitations
8. Strengths and limitations
This study has several limitations. Firstly, the NHIRD did not provide comprehensive information such as body height, weight, body mass index, precise dosage of rickets medications, primary cause for admission, some socioeconomic details (e.g., educational level), and environmental factors (e.g., nutritional status). Secondly, biochemistry and endocrine parameters (e.g., serum electrolytes, parathyroid hormone, 25-hydroxyvitamin D, and 1,25-dihydroxyvitamin D) were unavailable in the NHIRD. Furthermore, given the absence of genetic testing data in the NHIRD, hereditary rickets was defined exclusively using ICD diagnostic codes for disorders of phosphate metabolism (ICD-9, 275.3; ICD-10, E83.30–E83.39). This methodology may result in misclassification bias, as genetic confirmation was not available for all patients and the diagnostic codes may have inadvertently included cases of secondary metabolic bone disorders, acquired malabsorption disease, nutritional deficiencies, and renal tubular disorders. Thirdly, imaging studies like bone surveys were not included, potentially affecting outcome analysis. Lastly, the outcomes of rickets treatment were not evaluated due to limitations in assessing intervention implications from NHIRD data. Despite these limitations, the NHIRD provides comprehensive population coverage, reducing the potential for recall and selection bias. However, further prospective studies with more detailed information are necessary to fully elucidate the impact of rickets and its treatments on normal growth and ROM.
In conclusion, our study highlights the demographic characteristics, ROM, and temporal trends in incidence and mortality among patients with rickets. We found that rickets primarily affects preschool-aged children. Hereditary rickets is less common than nutritional rickets and often diagnosed later, typically in adolescence. Significant mortality predictors include low family income and longer LOS. Despite rising incidence rates, mortality rates have decreased, underscoring the importance of targeted interventions and monitoring strategies to mitigate the burden of rickets and improve outcomes.

Supplementary materials

Supplementary materials

Supplementary Tables 1-4 and Supplementary Fig. 1 are available at https://doi.org/10.3345/cep.2025.00976.
Supplementary Table 1.
Analyzed codes of ICD-9-CM and ICD-10-CM
cep-2025-00976-Supplementary-Table-1.pdf
Supplementary Table 2.
Sensitivity and specificity of ROC curve of LOS
cep-2025-00976-Supplementary-Table-2.pdf
Supplementary Table 3.
Trend of the incidence rate of index patients
cep-2025-00976-Supplementary-Table-3.pdf
Supplementary Table 4.
Trend of proportional mortality of index patients
cep-2025-00976-Supplementary-Table-4.pdf
Supplementary Table 3.
Flowchart for study patients selection from National Health Insurance Research Database.
cep-2025-00976-Supplementary-Fig-1.pdf
Conflicts of interest

Conflicts of interest

The authors declare no competing interests.

Notes

Funding

This work was supported in part by grants from the National Science and Technology Council (MOST 107-2314-B-016-064-MY3, MOST 110-2314-B-016-016-MY3, and NSTC 112-2314-B-016-032-MY3), the Research Fund of the Tri-Service General Hospital (TSGH-E-111196, TSGHE-112197, and TSGH-E113208), the Taipei Medical University-National Defense Medical Center Joint Research Program (TMU-NDMC-11301), the Taiwan Ministry of Health and Welfare Clinical Trial Center (MOHW112-TDU-B-212- 144004), Zuoying Armed Forces General Hospital (KAFGHZY_E_113023, and ZYAFGH_E_114038) and China Medical University Hospital (DMR-111-105, DMR-112-087, and DMR-113-009). The funder had no role in the design, data collection, data analysis, and reporting of this study.

Notes

Acknowledgments

We are grateful to Health Data Science Center, China Medical University Hospital for providing administrative and technical support.

Notes

Author contribution

Conceptualization: CHC, CML; Data curation: CHC, YCC, PYL, CCH, TJH, YJH, FJT, CML; Formal analysis: CHC, YCC, PYL, CCH, TJH, YJH, FJT, CML; Funding acquisition: CHC, CML; Methodology: CHC, YCC, CML; Project administration: CHC, CML; Visualization: CHC, CML; Writing - original draft: CHC, CML; Writing - review & editing: YCC, PYL, CCH, YLL, FCK, CHL, CML

Fig. 1.
Annual incidence rate among index patients. (A) Overall rickets. The total population increased significantly (annual percentage change [APC]=13.56; P=0.002). The male prevalence increased significantly (APC=13.09, P=0.004). The female prevalence increased significantly (APC=14.55, P=0.002). (B) Nutritional rickets. The total population increased significantly (APC=17.90, P=0.001). The male prevalence increased significantly (APC=18.01, P=0.002). The female prevalence increased significantly (APC=18.12, P=0.002). (C) Hereditary rickets. The total population increased significantly (APC=5.73, P=0.028). The male prevalence increased significantly (APC=5.48, P=0.045). The female prevalence increased slightly (APC=8.01, P=0.097).
cep-2025-00976f1.tif
Fig. 2.
Trend of proportional mortality among the index patients. (A) Overall rickets. The total population decreased significantly (annual percentage change [APC]=-13.48, P=0.002). The male prevalence increased slightly (APC=-3.50, P=0.942). The female prevalence decreased slightly (APC=-21.37, P=0.615). (B) Nutritional rickets. The total population decreased slightly (APC=-46.20, P=0.307). The male prevalence decreased slightly (APC=-66.82, P=0.140). The female prevalence decreased slightly (APC=-48.18, P=0.353). (C) Hereditary rickets. The total population decreased slightly (APC=-4.86, P=0.293). The male prevalence increased slightly (APC=8.99, P=0.864). The female prevalence decreased slightly (APC=-3.98, P=0.962).
cep-2025-00976f2.tif
Fig. 3.
Optimal cutoff value (CoV) of hospital length of stay (LOS) to predict mortality using receiver operating characteristic (ROC) curves. (A) Overall rickets. Area under the curve (AUC)=0.809, 95% confidence interval (CI)=0.760–0.857, P<0.001. Optimal CoV of LOS: 3 days. (B) Nutritional rickets. AUC=0.741; 95% CI, 0.661–0.888; P<0.001. Optimal CoV of LOS: 6 days. (C) Hereditary rickets. AUC=0.720, 95% CI, 0.653–0.787; P<0.001. Optimal CoV of LOS: 9 days.
cep-2025-00976f3.tif
cep-2025-00976f4.tif
Table 1.
Demographic data and comorbidities of patients overall and by rickets group
Variable Nutritional rickets
Hereditary rickets
Overall rickets
Value P value Value P value Value P value
Demographic data (total population)
 Population/sex 0.67 0.96 0.49
  Male 504 (50.10) 316 (57.98) 820 (52.87)
  Female 502 (49.90) 229 (42.02) 731 (47.13)
  Total 1006 (100) 545 (100) 1551 (100)
 Age (yr) 5.61±5.72 0.86 7.97±6.46 0.66 6.44±6.09 0.3
  0–5 559 (55.57) 226 (41.47) 785 (50.61)
  6–10 156 (15.51) 82 (15.05) 238 (15.34)
  11–18 291 (28.93) 237 (43.49) 528 (34.04)
 Income level (USD) <0.001 <0.001 <0.001
  <20,000 138 (13.72) 109 (20.00) 247 (15.93)
  20,000–39,999 571 (56.76) 306 (56.15) 877 (56.54)
  ≥40,000 297 (29.52) 130 (23.85) 427 (27.53)
 Season 0.4 0.27 0.16
  Spring 233 (23.16) 123 (22.57) 356 (22.95)
  Summer 264 (26.24) 152 (27.89) 416 (26.82)
  Autumn 259 (25.75) 143 (26.24) 402 (25.92)
  Winter 250 (24.85) 127 (23.30) 377 (24.31)
 Urbanization level 0.93 0.77 0.7
  0 (lowest) 137 (13.62) 44 (8.92) 185 (11.93)
  1 62 (6.16) 35 (7.10) 102 (6.58)
  2 303 (30.12) 180 (36.51) 499 (32.17)
  3 504 (50.10) 234 (47.46) 765 (49.32)
Comorbidities (total population)
 Prematurity 0.64 0.37 0.61
  No 831 (82.60) 500 (91.74) 1,331 (85.82)
  Yes 175 (17.40) 45 (8.26) 220 (14.18)
 Underweight 0.41 0.51 0.19
  No 976 (97.02) 541 (99.27) 1,517 (97.81)
  Yes 30 (2.98) 4 (0.73) 34 (2.19)
 Anemia <0.001 <0.001 <0.001
  No 946 (94.04) 415 (84.18) 1,391 (89.68)
  Yes 60 (5.96) 78 (15.82) 160 (10.35)
 Enthesopathy 0.8 0.57 0.58
  No 1003 (99.70) 542 (99.45) 1,545 (99.61)
  Yes 3 (0.3) 3 (0.55) 6 (0.39)
 Osteoarthrosis 0.65 0.3 0.33
  No 997 (99.11) 535 (98.17) 1,532 (98.77)
  Yes 9 (0.89) 10 (1.83) 19 (1.23)
 Chronic kidney disease 0.74 0.17 0.002
  No 1001 (99.50) 499 (91.56) 1,500 (96.77)
  Yes 5 (0.5) 46 (8.44) 51 (3.29)
 Hyperparathyroidism secondary to renal tubulopathies 0.09 0.01 <0.001
  No 996 (99.01) 522 (95.78) 1,518 (97.87)
  Yes 10 (0.99) 23 (4.22) 33 (2.13)
 Infectious lung diseases 0.89 0.05 0.19
  No 811 (80.62) 452 (82.94) 1,263 (81.43)
  Yes 195 (19.38) 93 (17.06) 288 (18.57)
 Length of days 3.51±15.89 <0.001 11.77±19.60 <0.001 6.41±17.72 <0.001
  ≤7 890 (88.47) 374 (68.62) 1,081 (69.7)
  >7 116 (11.53) 171 (31.38) 470 (30.3)
Demographic data (mortality)
 Population/sex 0.67 0.96 0.49
  Male 12 (54.55) 30 (57.69) 42 (56.76)
  Female 10 (45.45) 22 (42.31) 32 (43.24)
  Total 22 (100) 52 (100) 74 (100)
 Age (yr) 6.68±6.81 0.86 8.35±6.28 0.66 7.85±6.44 0.3
  0–5 11 (50.00) 20 (38.46) 31 (41.89)
  6–10 4 (18.18) 9 (17.31) 13 (17.57)
  11–18 7 (31.82) 23 (44.23) 30 (40.54)
 Income level (USD) <0.001 <0.001 <0.001
  <20,000 10 (45.45) 24 (46.15) 34 (45.95)
  20,000–39,999 9 (40.91) 16 (30.77) 25 (33.78)
  ≥40,000 3 (13.64) 12 (23.08) 15 (20.27)
 Season 0.4 0.27 0.16
  Spring 8 (36.36) 12 (23.08) 20 (27.03)
  Summer 6 (27.27) 15 (28.85) 21 (28.38)
  Autumn 5 (22.73) 18 (34.62) 23 (31.08)
  Winter 3 (13.64) 7 (13.46) 10 (13.51)
 Urbanization level 0.93 0.77 0.7
  0 (lowest) 5 (22.73) 4 (7.69)
  1 5 (9.62) 7 (9.46)
  2 7 (31.82) 16 (30.77) 23 (31.08)
  3 10 (45.45) 27 (51.92) 37 (50)
Comorbidities (mortality)
 Prematurity 0.64 0.37 0.61
  No 19 (86.36) 46 (88.46) 65 (87.84)
  Yes 3 (13.64) 6 (11.54) 9 (12.16)
 Underweight 0.41 0.51 0.19
  No 22 (100) 52 (100) 74 (100)
  Yes 0 (0) 0 (0) 0 (0)
 Anemia <0.001 <0.001 <0.001
  No 16 (72.73) 30 (57.69) 46 (62.16)
  Yes 6 (27.27) 22 (42.31) 28 (37.84)
 Enthesopathy 0.8 0.57 0.58
  No 22 (100) 52 (100) 74 (100)
  Yes 0 (0) 0 (0) 0 (0)
 Osteoarthrosis 0.65 0.3 0.33
  No 22 (100) 52 (100) 74 (100)
  Yes 0 (0) 0 (0) 0 (0)
 Chronic kidney disease 0.74 0.17 0.002
  No 22 (100) 45 (86.54) 67 (90.54)
  Yes 0 (0) 7 (13.46) 7 (9.46)
 Hyperparathyroidism secondary to renal tubulopathies 0.09 0.01 <0.001
  No 21 (95.45) 46 (88.46) 67 (90.54)
  Yes 1 (4.55) 6 (11.54) 7 (9.46)
 Infectious lung diseases 0.89 0.05 0.19
  No 18 (81.82) 38 (73.08) 56 (75.68)
  Yes 4 (18.18) 14 (26.92) 18 (24.32)
 Length of days 32.32±79.90 <0.001 26.40±33.79 <0.001 28.16±51.40 <0.001
  ≤7 8 (36.36) 20 (38.46) 17 (22.97)
  >7 14 (63.64) 32 (61.54) 57 (77.03)

Values are presented as number (%) or mean±standard deviation.

USD, United States dollars.

Boldface indicates a statistically significant difference with P<0.05.

Table 2.
Hazard ratio of factors influencing mortality among index patients
Characteristic Mortality
Adjusted HRa) 95% CI P value
No. PY MR (‰)
Rickets
 Sex
  Female 32 3674.97 8.71 1.00 Reference -
  Male 42 4146.34 10.13 1.58 0.97–2.57 0.064
 Age (yr)
  0–5 31 3921.98 7.90 1.00 Reference -
  6–10 13 1125.53 11.55 1.21 0.60–2.42 0.599
  11–18 30 2773.80 10.82 0.67 0.37–1.20 0.178
 Income level
  <20,000 37 1331.56 27.79 1.00 Reference -
  20,000–39,999 22 4429.27 4.97 0.13 0.07–0.24 <0.001
  ≥40,000 15 2060.48 7.28 0.27 0.15–0.51 <0.001
 Season
  Spring 20 1867.64 10.71 1.00 Reference -
  Summer 21 2047.01 10.26 0.96 0.52–1.77 0.887
  Autum 23 1704.25 13.50 1.07 0.58–2.00 0.822
  Winter 10 2202.42 4.54 0.55 0.26–1.19 0.131
 Urbanization level
  0 (lowest), 1 7 616.94 11.35 1.00 Reference -
  2 23 2687.99 8.56 1.16 0.49–2.76 0.739
  3 44 4516.38 9.74 1.54 0.68–3.48 0.302
 Length of days
  ≤3 25 6181.45 4.04 1.00 Reference -
  >3 49 1639.86 29.88 4.82 2.90–8.02 <0.001
Nutritional rickets
 Sex
  Female 10 2266.63 4.41 1.00 Reference -
  Male 12 2253.02 5.33 1.02 0.38–2.75 0.976
 Age (yr)
  0–5 11 2536.03 4.34 1.00 Reference -
  6–10 4 627.44 6.38 1.49 0.36–6.11 0.582
  11–18 7 1356.18 5.16 0.83 0.25–2.68 0.749
 Income level
  <20,000 11 744.23 14.78 1.00 Reference -
  20,000–39,999 7 2635.73 2.66 0.12 0.04–0.34 <0.001
  ≥40,000 4 1139.69 3.51 0.15 0.04–0.53 0.003
 Season
  Spring 8 1146.59 6.98 1.00 Reference -
  Summer 6 1120.99 5.35 1.24 0.39–3.92 0.709
  Autum 5 960.94 5.20 0.74 0.21–2.61 0.639
  Winter 3 1291.13 2.32 0.47 0.12–1.89 0.286
 Urbanization level
  0 (lowest), 1 2 360.62 5.55 1.00 Reference -
  2 8 1488.41 5.37 2.01 0.34–11.84 0.438
  3 12 2670.63 4.49 2.97 0.48–18.48 0.244
 Length of days
  ≤3 9 4100.05 2.20 1.00 Reference -
  >3 13 419.61 30.98 13.50 4.95–37.05 <0.001
Heredity rickets
 Sex
  Female 21 1408.33 14.91 1 Reference -
  Male 31 1893.32 16.37 1.63 0.90–2.92 0.104
 Age (yr)
  0–5 20 1385.95 14.43 1 Reference -
  6–10 10 498.09 20.08 1.16 0.51–2.64 0.729
  11–18 22 1417.62 15.52 0.59 0.30–1.16 0.127
 Income level
  <20,000 26 587.33 44.27 1 Reference -
  20,000–39,999 15 1793.54 8.36 0.14 0.07–0.29 <0.001
  ≥40,000 11 920.79 11.95 0.34 0.16–0.72 0.005
 Season
  Spring 13 721.05 18.03 1 Reference -
  Summer 15 926.01 16.20 0.9 0.42–1.92 0.781
  Autum 17 743.31 22.87 1.22 0.57–2.59 0.612
  Winter 7 911.29 7.68 0.61 0.24–1.55 0.297
 Urbanization level
  0 (lowest), 1 5 256.32 19.51 1 Reference -
  2 16 1199.59 13.34 1.07 0.38–3.03 0.896
  3 31 1845.75 16.80 1.49 0.56–3.93 0.422
 Length of days
  ≤3 16 2081.40 7.69 1 Reference -
  >3 36 1220.25 29.50 3.03 1.65–5.54 <0.001

PY, person-years; MR, mortality rate; HR, hazard ratios; CI, confidence interval.

a) Adjusted HR estimated by the model including the variables of sex, age, income level, season, urbanization level, and hospital length of stay in days.

Boldface indicates a statistically significant difference with P<0.05.

Table 3.
Summary of studies of rickets epidemiology
Study Design Aim Methods Results Strengths Limitations
Current study Nationwide retrospective cohort study Epidemiological characteristics of nutritional and hereditary rickets. Statistical analysis based on the NHIRD in Taiwan from 2008 to 2018. Late diagnosis and male predominance in hereditary rickets. ROM in rickets is associated with low socioeconomic status, anemia, CKD, hyperparathyroidism, and LOS. Increasing incidence and decreasing mortality rate during the study period. Large pediatric subjects (n=1,551) enrolled from a nationwide data­ base. Compare both nutritional and hereditary rickets in the same time. Focus on the Chinese Han population which was less be ad­ dressed. Lacking of anthropometric data, biochemistry and endocrine parameters, and bone x-ray in the NHIRD.
Also, analyze the ROM among rickets patients.
Thacher et al., [6] 2013 Retrospective cohort study (community-based population) Temporal trends in incidence and risk factors of nutri­ tional rickets Research based on data from the Rochester Epidemiology Project cohort from 1970 to 2009. Most of the cases aged <3 yr. Nutritional rickets is associated with black race, breast feeding, low birth weight, and stunted growth. The incidence has dramatically increased since 2000. Long follow-up period of 40 yr. This study contains image evidence. Exclusively focuses on nutritional rickets. A mixed-ethnicity study conducted in a well-developed county, which may lead to limit­ ed generalizability.
Wheeler et al., [8] 2015 Prospective co­ hort study Incidence and characteristics of vitamin D deficiency rickets The New Zealand Pediatric Surveillance Unit conducted prospective surveill­ ance among pediatricians for 36 months to monitor cases of vitamin D defici­ ency rickets. Identified risk factors were darker skin pigmentation, Indian and African ethnicity, age <3 yr, exclusive breast feeding, and residing in southern latitudes. Incidence was higher in children <3 yr than those <15 yr. A prospective study could decrease the information bias and recall bias. Only focuses on nutritional rickets and small sample size (n=58).
Al-Atawi et al, [9] 2009 Retrospective cohort study (single medical center) Clinical presentations and risk factors of nutritional rickets in Saudi infants. Analyzing data of infants <14 mo who were diagnosed as nutritional rickets during a 10-yr period. 70% were exclusively breast-fed, and 23% were breast-fed until the age of 1 yr. The most fre­ quent clinical presentation was hypocalcemic convulsions (34%) followed by chest infections (33%) and gastroenteritis (25%). Included the biochemical analyses and image findings. Only focuses on nutritional rickets and infants groups.
Hawley et al., [17] 2020 Retrospective cohort study Prevalence of XLH across the life course and overall survival among individuals with XLH. A population-based cohort study using a large primary care database in UK from 1995 to 2016. An increasing prevalence was noted during the study period. Using a national database (repre­ sented 7% of the UK population). The first study focusing XLH pre­ valence and prognosis in adult­ hood. Possible miscoding of the disease existed. Lack of genetic and image data. Only focuses on XLH.
Emma et al., [18] 2019 Retrospective cohort study An experts’ opinion survey was conducted across Italian centers to gather data on XLH. A questionnaire was developed to collect data from 10 centers on 175 patients diagnosed with XLH between 1998 and 2017. The majority of patients were diagnosed between the ages of 1 and 5 years. Growth stunting, bone pain, dental abscesses, and dental malposition were common complica­ tions. Multicenter research focused on XLH data, which was seldom addressed previously. Lack of biochemistry, genetic or image data.
Mumtaz et al., [19] 2022 Cross-sectional study Risk factors of nutritional rickets in Pakistani chil­ dren. Making observation on 132 children with nutritional rickets, comparing their demographic data and socioeconomic status. The majority of cases were aged from 1 to 3 years, male, lower socioeconomic status, lack of sun exposure, and poor nutritional conditions. Enrich the epidemiological characte­ ristics of rickets with the South Asia population. Lack of control group. Small sam­ ple size.
Beck-Nielson et al., [20] 2009 Retrospective cohort study Incidence and prevalence of nutritional and hereditary rickets. Patients aged 0–14.9 yr with a diagnosis of rickets in southern Denmark from 1985 to 2005 were identified and enrolled. The incidence of nutritional rickets was found to be higher in the younger population, with a notable increase among immigrants. A nationwide epidemiologic study Only analyzed incidence of rickets without ROM investigation. Smaller sample size (n=112).
Meyer et al., [21] 2017 Retrospective cohort study To identify new cases of nu­ tritional rickets in Norway Use ICD-10 to clarify the newly diagnosed cases of nutritional rickets (<5 yr) during the period 2008–2012. Total 42 patients were identified with a mean diagnostic age of 1.4 yr, and 93% had a nonwestern immigrant background. A nationwide population-based study. Only focuses on nutritional rickets and its incidence.

ROM, risk of mortality; NHIRD, National Health Insurance Research Database; CKD, chronic kidney disease; LOS, length of stay; XLH, X-linked hypophosphatemia; ICD-10, International Classification of Diseases, Tenth Revision.

References

1. Ozkan B. Nutritional rickets. J Clin Res Pediatr Endocrinol 2010;2:137–43.
[PubMed] [PMC]
2. Nield LS, Mahajan P, Joshi A, Kamat D. Rickets: not a disease of the past. Am Fam Physician 2006;74:619–26.
[PubMed]
3. Pettifor JM. Vitamin D &/or calcium deficiency rickets in infants & children: a global perspective. Indian J Med Res 2008;127:245–9.
[PubMed]
4. Econs MJ, Samsa GP, Monger M, Drezner MK, Feussner JR. X-Linked hypophosphatemic rickets: a disease often unknown to affected patients. Bone Miner 1994;24:17–24.
[Article] [PubMed]
5. Levine MA. Diagnosis and management of vitamin d dependent rickets. Front Pediatr 2020;8:315
[Article] [PubMed] [PMC]
6. Thacher TD, Fischer PR, Tebben PJ, Singh RJ, Cha SS, Maxson JA, et al. Increasing incidence of nutritional rickets: a population-based study in Olmsted County, Minnesota. Mayo Clin Proc 2013;88:176–83.
[Article] [PubMed] [PMC]
7. Acar S, Demir K, Shi Y. Genetic causes of rickets. J Clin Res Pediatr Endocrinol 2017;9(Suppl 2): 88–105.
[Article] [PubMed] [PMC]
8. Wheeler BJ, Dickson NP, Houghton LA, Ward LM, Taylor BJ. Incidence and characteristics of vitamin D deficiency rickets in New Zealand children: a New Zealand Paediatric Surveillance Unit study. Aust N Z J Public Health 2015;39:380–3.
[Article] [PubMed]
9. Al-Atawi MS, Al-Alwan IA, Al-Mutair AN, Tamim HM, Al-Jurayyan NA. Epidemiology of nutritional rickets in children. Saudi J Kidney Dis Transpl 2009;20:260–5.
[PubMed]
10. Wondale Y, Shiferaw F, Lulseged S. A systematic review of nutritional rickets in Ethiopia: status and prospects. Ethiop Med J 2005;43:203–10.
[PubMed]
11. Simm PJ, Munns CF, Jefferies CA, Wheeler BJ. Editorial: childhood rickets-new developments in epidemiology, prevention, and treatment. Front Endocrinol (Lausanne) 2020;11:621734
[Article] [PubMed] [PMC]
12. Wu TY, Majeed A, Kuo KN. An overview of the healthcare system in Taiwan. London J Prim Care (Abingdon) 2010;3:115–9.
[Article] [PubMed] [PMC]
13. ICD-9-CM coding and reporting official guidelines. American Hospital Association, American Medical Record Association, Health Care Financing Administration, National Center for Health Statistics. J Am Med Rec Assoc 1990;61:suppl 1–17.
14. Wu P, Gifford A, Meng X, Li X, Campbell H, Varley T, et al. Mapping ICD-10 and ICD-10-CM codes to phecodes: workflow development and initial evaluation. JMIR Med Inform 2019;7:e14325.
[Article] [PubMed] [PMC]
15. Huh SY, Gordon CM. Vitamin D deficiency in children and adolescents: epidemiology, impact and treatment. Rev Endocr Metab Disord 2008;9:161–70.
[Article] [PubMed]
16. Dunnigan MG, Henderson JB. An epidemiological model of privational rickets and osteomalacia. Proc Nutr Soc 1997;56:939–56.
[Article] [PubMed]
17. Hawley S, Shaw NJ, Delmestri A, Prieto-Alhambra D, Cooper C, Pinedo-Villanueva R, et al. Prevalence and mortality of individuals with X-linked hypophosphatemia: a united kingdom real-world data analysis. J Clin Endocrinol Metab 2020;105:e871–8.
[Article] [PubMed] [PMC]
18. Emma F, Cappa M, Antoniazzi F, Bianchi ML, Chiodini I, Eller Vainicher C, et al. X-linked hypophosphatemic rickets: an Italian experts' opinion survey. Ital J Pediatr 2019;45:67
[Article] [PubMed] [PMC]
19. Mumtaz A, Akram J, Nazir N, Hasan AH, Ali R, Basharat A, et al. Risk factors of nutritional rickets among children under-five years of age. Am J Health Med Nurs Pract 2022;7:14–9.
[Article]
20. Beck-Nielsen SS, Brock-Jacobsen B, Gram J, Brixen K, Jensen TK. Incidence and prevalence of nutritional and hereditary rickets in southern Denmark. Eur J Endocrinol 2009;160:491–7.
[Article] [PubMed]
21. Meyer HE, Skram K, Berge IA, Madar AA, Bjørndalen HJ. Nutritional rickets in Norway: a nationwide register-based cohort study. BMJ Open 2017;7:e015289.
[Article] [PubMed] [PMC]
22. Gatti AP, Tonello L, Neto JA, Teixeira UF, Goldoni MB, Fontes PR, et al. Oncogenic hypophosphatemic osteomalacia: From the first signal of disease to the first signal of healthy. Int J Surg Case Rep 2017;30:130–3.
[Article] [PubMed] [PMC]
23. el-Kholy MS, Abdel Mageed FY, Farid FA. A genetic study of vitamin D deficiency rickets: 2-sex differences and ABO typing. J Egypt Public Health Assoc 1992;67:213–22.
[PubMed]
24. Sayehmiri K, Shohani M, Kalvandi G, Najafi R, Tavan H. Biochemical parameters of rickets in Iranian children: a systematic review and meta-analysis. J Res Med Sci 2019;24:76
[Article] [PubMed] [PMC]
25. Carpenter TO, Imel EA, Holm IA, Jan de Beur SM, Insogna KL. A clinician's guide to X-linked hypophosphatemia. J Bone Miner Res 2011;26:1381–8.
[Article] [PubMed] [PMC]
26. Al Juraibah F, Al Amiri E, Al Dubayee M, Al Jubeh J, Al Kandari H, Al Sagheir A, et al. Diagnosis and management of X-linked hypophosphatemia in children and adolescent in the Gulf Cooperation Council countries. Arch Osteoporos 2021;16:52
[PubMed] [PMC]
27. Jacob P, Bhavani GS, Udupa P, Wang Z, Hariharan SV, Delampady K, et al. Exome sequencing in monogenic forms of rickets. Indian J Pediatr 2023;90:1182–90.
[Article] [PubMed] [PMC]
28. Capelli S, Donghi V, Maruca K, Vezzoli G, Corbetta S, Brandi ML, et al. Clinical and molecular heterogeneity in a large series of patients with hypophosphatemic rickets. Bone 2015;79:143–9.
[Article] [PubMed]
29. Gentile C, Chiarelli F. Rickets in children: an update. Biomedicines 2021;9:738
[Article] [PubMed] [PMC]
30. Scitovsky T. Economic development in Taiwan and South Korea: 1965-81. Food Res Inst Stud 1985;19:215–64.
31. Shaw NJ. Prevention and treatment of nutritional rickets. J Steroid Biochem Mol Biol 2016;164:145–7.
[Article] [PubMed]
32. Ozbayrak SS. Previously undiagnosed hypophosphatemic rickets presenting like ankylosing spondylitis in adulthood: a case report. Clin Ter 2020;171:e378–80.
[PubMed]
33. Fischer PR, Thacher TD, Pettifor JM. Pediatric vitamin D and calcium nutrition in developing countries. Rev Endocr Metab Disord 2008;9:181–92.
[Article] [PubMed]
34. Haffner D, Emma F, Eastwood DM, Biosse Duplan M, Bacchetta J, Schnabel D, et al. Clinical practice recommendations for the diagnosis and management of X-linked hypophosphataemia. Nat Rev Nephrol 2019;15:435–55.
[Article] [PubMed] [PMC]
35. Haugen J, Basnet S, Hardang IM, Sharma A, Mathisen M, Shrestha P, et al. Vitamin D status is associated with treatment failure and duration of illness in Nepalese children with severe pneumonia. Pediatr Res 2017;82:986–93.
[Article] [PubMed]
36. Oduwole AO, Giwa OS, Arogundade RA. Relationship between rickets and incomplete distal renal tubular acidosis in children. Ital J Pediatr 2010;36:54
[Article] [PubMed] [PMC]
37. Agarwal A, Gupta SK, Sukumar R. Hyperparathyroidism and malnutrition with severe vitamin D deficiency. World J Surg 2009;33:2303–13.
[Article] [PubMed]
38. Kleerekoper M, Coffey R, Creco T, Nichols S, Cooke N, Murphy W, et al. Hypercalcemic hyperparathyroidism in hypophosphatemic rickets. J Clin Endocrinol Metab 1977;45:86–94.
[Article] [PubMed]
39. Fraser WD. Hyperparathyroidism. Lancet 2009;374:145–58.
[Article] [PubMed]
40. Baroncelli GI, Comberiati P, Aversa T, Baronio F, Cassio A, Chiarito M, et al. Diagnosis, treatment, and management of rickets: a position statement from the Bone and Mineral Metabolism Group of the Italian Society of Pediatric Endocrinology and Diabetology. Front Endocrinol (Lausanne) 2024;15:1383681
[Article] [PubMed] [PMC]
41. Lin CH, Lin CY, Sung YH, Li ST, Cheng BW, Weng SL, et al. Effect of oral vitamin D3 supplementation in exclusively breastfed newborns: prospective, randomized, double-blind, placebo-controlled trial. J Bone Miner Res 2022;37:786–93.
[PubMed]
42. Lee CC, Chiou ST, Chen LC, Chien LY. Breastfeeding-friendly environmental factors and continuing breastfeeding until 6 months postpartum: 2008-2011 National Surveys in Taiwan. Birth 2015;42:242–8.
[Article] [PubMed]
43. Balasubramanian S, Ganesh R. Vitamin D deficiency in exclusively breast-fed infants. Indian J Med Res 2008;127:250–5.
[PubMed]
44. Andiran N, Yordam N, Ozön A. Risk factors for vitamin D deficiency in breast-fed newborns and their mothers. Nutrition 2002;18:47–50.
[Article] [PubMed]
45. McKelvie B, McNally JD, Chan J, Momoli F, Ramsay C, Lobos AT. Increased mortality and length of stay associated with medical emergency team review in hospitalized pediatric patients: a retrospective cohort study. Pediatr Crit Care Med 2017;18:571–9.
[Article] [PubMed]

Go to Top